3.2. Processamento e Localizacao
     Vários aspectos relevantes devem ser levados em conta nas etapas de processamento e localização da íris na imagem capturada: o limite entre a íris e a esclerótica,  o limite entre a íris e a pupila, e os traços inferiores e superiores que correspondem aos limites impostos pelas pálpebras do globo ocular, limitando a parte visível da íris.

graphic
Figura 6. Fronteiras a serem detectadas

     Na fase de processamento, os sinais são analisados para que seja possível a geração de filtros que excluem as partes que não são  relevantes.
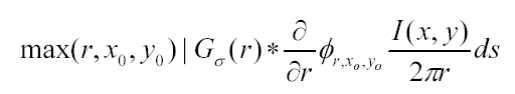
     No sistema proposto por Daugman, a detecção é feita por operadores integro-diferenciais.
     É utilizada uma integral de linha parametrizada, com as coordenadas r, x0 e y0 representando o tamanho e a localização da íris, respectivamente. A escala de análise σ é setada por Gσ(r), uma função de suavização de ruído, sobre a imagem I (x, y).
graphic
     Com as informações relativas às variações do raio r e das posições x e y do centro, o operador é capaz de procurar o caminho circular com mudanças significativas nos valores dos pixels, de forma a, após aplicações iterativas deste operador, encontrar a localização mais precisa. Isto é, funciona como um “localizador de bordas”. Um detalhe que não deve ser considerado é a concentricidade entre íris e pupila. Embora a busca pela localização da íris possa ser vista como uma busca pela localização da pupila, o raio da pupila pode possuir variação da ordem de 0.1 a 0.8 em relação ao raio da íris. Dessa forma, a estimativa dos parâmetros relacionados à definição da pupila deve ser feita separadamente dos parâmetros que definem a  íris.