Reconhecimento de Íris

Introdução

A Biometria é uma tecnologia recente, muito útil para identificar pessoas e funciona como uma senha ou até melhor. Não se deve confundir a biometria abordada aqui com a biometria estudada nos ramos da biologia. A Biometria é aplicada para distinguir o ser humano baseando-se nas diferenças entre suas características físicas e biológicas. Ao digitar um nome de usuário e uma senha em um sistema, por exemplo, a pessoa está “diferenciando-se” das outras pessoas e usuários. Na Biometria, o objetivo é o mesmo, porém essa diferenciação ocorre por meio de características que são únicas para cada indivíduo. Dentre as técnicas de biometria temos: impressão digital, reconhecimento de face, de voz, de assinaturas, de íris, de retina, dentre outras. Algumas são muito caras de se desenvolver (porém eficientes) e outras são muito baratas (porém menos eficientes).

1. O que é a Íris?

A íris é um músculo no olho, a parte visível do olho humano responsável pela coloração do olho. Dentro da íris, encontra-se a pupila que controla a quantidade de luz dentro do olho. Em volta dela está a esclera, a parte branca do olho. A retina é encontrada atrás do olho e é responsável pela formação das imagens.

A cor e a estrutura do olho humano são definidas geneticamente. Porém, a forma que a íris ganha é única e é formada no período pré-natal devido a alguns processos biológicos. Lembrando que, como o processo é aleatório, a íris direita de um indivíduo é diferente da íris esquerda. Isso torna a íris bem aleatória em cada indivíduo, garantindo a unicidade da íris.

2. Por que a íris é tão bem utilizada em biometria?

Uma característica fundamental da íris, que a torna um ótimo meio para se reconhecer indivíduos através da biometria, é a sua unicidade. Isso significa que a íris de cada indivíduo é diferente da íris de outro. A íris começa a se desenvolver no terceiro mês de gestação e só desenvolve sua forma completa no oitavo mês (embora a coloração possa continuar mudando após o nascimento). O desenvolvimento da íris (mas não da cor dos olhos) não segue nenhum padrão genético e ela se forma quase que totalmente de forma aleatória. A probabilidade de uma íris ser idêntica a outra é aproximadamente 1 em 1072. Essa probabilidade praticamente garante que não haverá nenhuma íris idêntica a outra no mundo.

Outra pergunta que surge ao se discutir a íris é sobre sua forma durante o tempo, se é garantido que a íris permanecerá a mesma durante anos, de modo que não afete a identificação de algum usuário na biometria. De fato, a íris permanece a mesma desde um ano de idade até a morte do indivíduo, ela não é contaminada com nenhum tipo de substância estranha ao organismo e não sofre nenhum efeito com idade. Resumindo, a íris permanece exatamente a mesma durante toda a vida do indivíduo, sendo assim, completamente estável. A utilização de lentes de contato e óculos também não afetam o reconhecimento da íris. O único caso que pode afetar o reconhecimento de íris é um dano sério na íris, que modificará sua forma.

Outro fator importante no uso do reconhecimento de íris em biometria é a velocidade com que a autenticação é feita. Em menos de 1 minuto é possível adquirir todos os resultados em um equipamento de reconhecimento de íris, tornando prática a utilização da tecnologia do reconhecimento de íris em lugares aonde o fluxo de pessoas é grande como aeroportos, por exemplo. Porém, como será visto adiante, o uso do reconhecimento de íris em locais aonde o fluxo de pessoas é muito intenso pode não ser muito eficaz e pode prejudicar os resultados.

O reconhecimento de íris é eficaz até mesmo para gêmeos idênticos e cegos. A explicação para o primeiro caso é que a íris ganha sua forma aleatoriamente no período de gestação, como visto anteriormente. Portanto, como não segue padrões genéticos, até gêmeos idênticos e clones podem possuir suas íris totalmente diferentes. No segundo caso, a explicação é que o reconhecimento de íris se baseia nas formas da íris e não se a pessoa possui visão ou não. Uma pessoa pode não enxergar absolutamente nada, mas sua íris tem uma forma e esta pode ser utilizada em biometria.

O reconhecimento de íris foi considerado, por meio de testes, o método biométrico mais eficaz para identificar um indivíduo. Um teste feito com 2 milhões de pessoas obteve 100% de acertos.

Na imagem podemos notar as grandes diferenças que existem entre 9 íris.

3.Reconhecimento de Íris

3.1 Adquirindo a imagem

A localização da imagem de uma íris é muito importante, por que, obviamente, se a imagem for capturada de forma errada a identificação do usuário pode falhar. De fato, existem vários fatores que devem ser considerados ao se capturar a imagem de uma íris e que podem afetar o desempenho do processo como um todo. Reflexos, movimentação do olho no momento de captura da imagem, pálpebras e cílios podem atrapalhar na aquisição da imagem de uma íris.

Para adquirir a imagem de uma íris é recomendado o uso de uma boa câmera digital (alguns celulares e pen-drives hoje em dia já possuem sistema de reconhecimento de íris). Uma técnica muito utilizada é a iluminação da íris utilizando luz infra-vermelha, de forma a não incomodar o usuário (pois é invisível ao usuário), iluminar a íris para uma melhor aquisição e através da variação do brilho da luz, verificar se houve dilatação da púpila, para prevenir que olhos falsos sejam utilizados para enganar o sistema.

Outro fator importante na aquisição da imagem da íris é a ortogonalidade do olho em relação ao objeto de captura (a câmera). Caso a aquisição seja feita com o rosto inclinado, por exemplo, a imagem não será adquirida por completo ou será adquirida de forma errônea. Camêras estáticas (não portáteis) normalmente vêm com uma instrução sobre ortogonalidade, como a imagem acima demonstra.

A distância do olho do usuário em relação a câmera pode variar desde uns poucos centímetros até 3 metros de distância e o local aonde a captura da imagem está sendo feita também deve ser levado em conta (um local com muita fumaça por exemplo, pode prejudicar a aquisição da imagem).

3.2 Processando os Dados

Após adquirir a imagem da íris, o próximo passo é processar os dados da imagem adquirida e efetivamente “encontrar” uma íris, ou seja, separar a imagem efetiva da íris das outras imagens, como o resto do olho por exemplo. Filtros são aplicados para excluir todas as partes desnecessárias para a imagem.

A estimação do foco da íris é feita de forma extremamente rápida e é feita uma estimativa do raio da íris e da pupila e das coordenadas do centro da imagem. Teoricamente, poderíamos pensar como o centro da pupila como sendo o centro da íris. Porém, isso não deve ser considerado dessa forma. Muito freqüentemente o centro da pupila é inferior ao centro da íris, podendo variar bastante (com ordens de até 0,8).

John Daugman, famoso no estudo de Reconhecimento de Íris, desenvolveu diversos algoritmos e propôs várias fórmulas para o reconhecimento de íris. Para adquirir as fronteiras da íris e separá-la da pupila, Daugman propôs a seguinte integral parametrizada:


Aonde I(x,y) é uma imagem contendo um olho e 2πr é a medida do contorno da imagem adquirida. Os parâmetros são: r, que é o raio da imagem (não apenas da íris) e x0 e y0 que são as coordenadas do centro da imagem. Essa fórmula permite calcular tanto os limites da íris, quantos os limites da pupila, podendo separá-las e utilizar apenas a imagem da íris nos cálculos posteriores. A função Gσ serve para suavizar ruídos, isto é, diminuir qualquer fator na imagem que prejudique o reconhecimento da íris, por exemplo, reflexos.

3.3 Codificando a íris

Continuando com os passos de reconhecimento da íris, o próximo é a codificação. Isto é, transformar a íris em código para poder ser “lida” e reconhecida por computadores.

Para iniciar a codificação da íris, novamente seguimos com uma fórmula proposta por John Daugman chamada Wavelets 2D de Gabor, que mapeia a íris em vetores e adquire as informações relevantes da imagem, como orientação, freqüência espacial e posições. Com essas informações é possível mapear o código da Íris (IrisCode). Abaixo, seguem-se imagens de uma representação pictórica de um código de Íris (aonde áreas pretas podem representar bits “1” e áreas brancas podem representar bits “0”) e a wavelet 2D de Gabor.

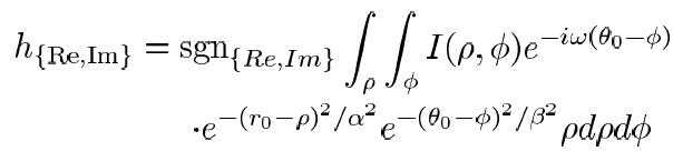
Na fórmula, h{Re, Im} é um número complexo que, dependendo do sinal da integral, ele pode ser 0,1 ou -1. I(ρ,φ) representa a imagem da íris em um sistema de coordenadas pseudo-polar adimensional que é adquirido convertendo as coordenadas em um plano cartesiano para um plano polar. O par (r,θ) na equação são as coordenadas polares de cada região da íris para as quais a função h é computada. Com a conversão para o sistema pseudo-polar, a dilatação da íris é corrigida, de forma que não prejudique no reconhecimento. As letras gregas α e β são parâmetros multi-escala das wavelets 2D e ω é a freqüência do wavelet.

Utilizando o quadrante de fase de demodulação da íris obtem-se as partes imaginária e real da fórmula da wavelet 2D. Uma vantagem da utilização do quadrante de fase é que quando “rodamos” entre quaisquer quadrantes adjacentes, apenas um único bit muda, diminuindo a chance de haver um erro grande. No final do processo 256 bytes são computados (Atualmente alguns sistemas utilizam 512 bytes). Esses bytes representam a imagem da íris. Porém, normalmente são computados mais 256 (ou 512) bytes de máscara, isto é, bytes que definem os fatores que podem prejudicar na identificação da íris: reflexos, lentes de contato, cílios, pálpebras.

As informações sobre a fase são utilizadas para o reconhecimento de íris, porém as informações sobre amplitude não são utilizadas, por que são menos relevantes e dão menos informações. Uma vantagem da fase ser utilizada é que independente da qualidade ou do foco da imagem, os ângulos permanecem os mesmos. Isso faz com que a comparação entre dois códigos de íris diferentes, mas ambos de imagens ruins possam ser diferenciados facilmente.

Também existem formas de normalizar a imagem, isto é, converter as diferentes imagens circulares adquiridas para padrões normalizados, de forma a facilitar a comparação. Para esse processo também são considerados os efeitos externos, como pálpebras, cílios e reflexos, além dos internos, como diferenças de centro entre pupila e íris. Diversos filtros e Wavelets são utilizados para normalização da imagem da íris. Como resultado, diversos padrões são adquiridos e armazenados no sistema.

3.4 Reconhecendo a Íris

O passo final da biometria de reconhecimento de íris é a comparação. Como já mencionado anteriormente, o reconhecimento de íris tem altíssimo grau de confiança e é nessa seção que será explicado o motivo.

É feito um teste de independência estatística entre dois códigos de íris diferentes. Esse teste de independência tem resultado positivo sempre que dois códigos de íris de olhos diferentes são comparados e falha sempre que duas versões de códigos da mesma íris são comparadas. É esse teste que garante a probabilidade extremamente baixa de haver duas íris iguais no mundo, mencionada anteriormente.

Esse teste de independência estatística é facilmente implementado com uma porta lógica XOR (XOU, OU exclusivo). O XOR é aplicado nos 2048 bits (ou 4096 bits) do código de íris, enquanto que um AND (E) é aplicado nos bits de máscara correspondentes. O XOR garante que não haverá diferença entre dois bits correspondentes, enquanto o AND garante que não haverá problemas com cílios, pálpebras, reflexos e outros fatores externos.

Os resultados adquiridos são utilizados para o cálculo da distância de Hamming. Esse cálculo define a porcentagem de diferença entre o código de duas íris quaisquer. Normalmente, se aceita um padrão de 50% de bits semelhantes entre dois códigos de íris diferentes (HD = 0,5). Abaixo segue a fórmula para o cálculo da distância de Hamming. Aonde MaskA e Code A são o código de máscara de um olho A e o código de íris para o mesmo olho A, respectivamente (Idem para um olho B).

Um fato interessante de notar é que quanto maior a distância de Hamming, mais chance de se aceitar duas íris diferentes como sendo iguais e quanto menor a distância de Hamming, mais chance de se comparar errado a mesma íris. Apesar disso, as probabilidades são altamente a favor do reconhecimento de íris, como já mencionado anteriormente. As imagens a seguir mostram a distribuição da distância de Hamming (binomial) através de cálculos feitos entre 200 bilhões de comparações e uma tabela com as probabilidades de ocorrerem erros.

4. Vantagens e Desvantagens

4.1 Vantagens

O reconhecimento de íris possui muitas características que favorecem a sua utilização na Biometria. Por exemplo, as probabilidades de erro ou de aceitação, já mencionadas anteriormente, são muito baixas. As probabilidades de aceitar uma íris errada ou rejeitar uma íris correta são menores que 1%. Em comparação com o Reconhecimento de Voz (que as probabilidades de erros estão entre 3% e 10%), o reconhecimento de íris parece ser bem mais favorável.

Além das probabilidades, podemos mencionar os fatores abordados nas primeiras seções, como a garantia quase absoluta de que ela é diferente em cada ser humano (unicidade), o fato de a íris ser um órgão interno, portanto é bem protegida e imune a doenças do olho e o reconhecimento de íris poder ser utilizado até mesmo em cegos e gêmeos idênticos. Além disso, a íris é praticamente imutável durante os anos (desde que não sofra nenhum dano), portanto a identificação será feita com sucesso na mesma pessoa daqui a 50 anos, por exemplo.

Outra grande vantagem é que ela é externa, o que permite que os equipamentos de reconhecimento de íris sejam utilizados de uma distância não muito próxima e sem exigir praticamente nada do usuário (ele apenas deve aproximar o olho do equipamento).

Nos meios de identificação mais comuns atualmente é necessário o uso de senhas e IDs para a identificação do usuário que podem ser esquecidas ou até mesmo roubadas. No caso do reconhecimento de íris não é necessário nenhum tipo de senha ou ID e, portanto não há o risco de esquecimento nem de roubo. A única forma de se perder a informação é perdendo o banco de dados que armazena os códigos de íris ou danificando seriamente o olho.

Tecnicamente, o reconhecimento de íris também possui muitas vantagens. O tempo necessário para analisar e codificar a imagem de uma íris é, em média, 1 segundo. As informações do código da íris e de máscara podem ser armazenadas em 512 bytes. Com a capacidade de armazenamento atual é possível armazenar milhões de códigos de íris. Além disso, é possível retornar 100 mil códigos de íris por segundo em uma CPU com 1 núcleo de 300 MHz. Com a capacidade de processamento atual (sendo as CPUs de 2 e 4 núcleos as mais comuns) é possível retornar uma quantidade enorme de códigos em um tempo mínimo.

4.2 Desvantagens

Apesar de muitas vantagens, o reconhecimento de íris também possui várias desvantagens, que muitas vezes prejudicam sua utilização e podem resultar em falhas e reconhecimentos feitos erroneamente.

Uma primeira desvantagem é o tamanho do olho. Como o olho é pequeno (aproximadamente 1 cm de raio), a distância do equipamento de reconhecimento de íris não deve ser muito grande. Apesar de essa característica ter sido mencionada como uma vantagem, ela também pode agir como uma desvantagem em determinadas situações. Em locais com muito movimento, o reconhecimento de íris acabada sendo prejudicado, pois nem sempre há controle total sobre o fluxo de pessoas e mesmo quando há, isso deixa o fluxo de pessoas mais lerdo. Não é possível fazer um reconhecimento de íris adequado com alvos em movimento, portanto não há outra opção para o usuário, a não ser parar diante do equipamento. Embora o reconhecimento seja rápido, em um fluxo de milhares de pessoas tendo que ser reconhecidas, o reconhecimento de íris torna-se uma forma um pouco mais lenta de identificação.

Outra desvantagem, já mencionada anteriormente, é o fato da íris ser localizada em uma superfície curva (o que pode dificultar sua representação em uma imagem plana), úmida e com reflexos. Além disso, as pálpebras e os cílios são outros fatores que prejudicam no reconhecimento. As pálpebras, por exemplo, ocultam parte da íris. As pupilas também podem ser um fator limitante do reconhecimento de íris já que seu tamanho é alterado dependendo da quantidade de luz no olho (embora isso seja uma vantagem para evitar fraudes, como explicado posteriormente). Essas características prejudicam o reconhecimento de íris e podem fazer com que os códigos de íris sejam computados de forma errada. Apesar disso, como já mencionado, essas desvantagens podem ser tratadas através de alguns cálculos, apesar de não haver 100% de eficiência.

Apesar da íris não contrair nenhuma doença diretamente, outras doenças no olho podem prejudicar a identificação, como catarata, conjuntivite, tremor nos olhos ou alergias. Ainda há pessoas que devido a problemas genéticos nascem sem íris e obviamente não podem utilizar sistemas de reconhecimento de íris.

Fraudes no sistema onde estão armazenados os códigos da íris também são possíveis. Porém, o mais comum são fraudes na hora da identificação. Uma pessoa pode perfeitamente utilizar uma foto de um olho para passar pelo reconhecimento de íris. Devido a esse tipo de fraude, que os equipamentos de reconhecimento de íris mais atuais possuem uma luz infra-vermelha para iluminar o olho do usuário e detectar a pupila em movimento.

5. Tecnologias atuais e aplicações do Reconhecimento de Íris

O reconhecimento de íris é uma tecnologia recente que surgiu nos anos 90. Apesar disso, já vem sendo largamente utilizado em diversos locais do mundo nos países desenvolvidos e até nos países subdesenvolvidos. Suas principais aplicações são em aeroportos, portos e fronteiras entre países. Mas também são aplicados no controle de entradas restritas, no acesso a determinados banco de dados (essas duas normalmente em áreas militares) e mais atualmente como forma de ligar carros.

A utilização do reconhecimento de íris em fronteiras, aeroportos e portos, tem como principal objetivo o controle de imigrantes. Mais de 15 pontos de entrada nos Emirados Árabes Unidos já utilizam o reconhecimento de íris para o controle de imigrantes e exilados. Aeroportos no Canadá, Reino Unido, Holanda e até no Afeganistão já utilizam sistemas desse tipo. Essas utilizações foram alavancadas com o aumento do terrorismo e a Guerra do Iraque em 2003. Com o reconhecimento de íris é possível saber quem sai e quem entra em determinado local, permitindo um melhor controle de estrangeiros. No aeroporto JFK, em Nova York, EUA, o reconhecimento de íris é utilizado por funcionários para acessar áreas restritas. Em Los Angeles, Tóquio e Milão (dentre outros) utilizam o reconhecimento para analisar todos os passageiros saindo do país.

Diversas empresas já fabricam equipamentos de reconhecimento de íris. A LG tem sido notável nesse ramo, com muitos equipamentos com reconhecimento de íris, desde celulares até equipamentos mais sofisticados. A Panasonic fabrica esses equipamentos para controle de acesso em locais restritos e aeroportos. A IBM foca sua atenção no controle de fronteiras. A IrisGuard desenvolveu um servidor para armazenamento de códigos de Íris em larga escala, facilitando todo tipo de consultas. Muitas outras empresas, menos conhecidas (mas que obtiveram sucesso) possuem equipamentos focados no reconhecimento de íris.

A LG IrisAccess 3000 e 4000 são umas das mais famosas e mais utilizadas câmeras de reconhecimento de íris. A Panasonic ET-300 foi desenvolvida para analisar os dois olhos de um individuo e pode ser utilizada com óculos e lentes de contato sem preocupações com reflexos. A câmera H-100 da IrisGuard é móvel, pode ser carregada no bolso e possui conexão USB. Esses foram apenas alguns exemplos de tecnologias atuais. Já existem até mesmo pen - drives com reconhecimento de íris.

LG IrisAccess 3000

LG IrisAccess 4000

Panasonic DT120

Muitos estudos e desenvolvimentos na área de biometria vêm sendo feitos atualmente. Algumas futuras aplicações já estão no mercado, outras estão em testes e ainda há aquelas que não deixaram de ser idéias.

A utilização da íris como um passaporte em aeroportos e fronteiras já é utilizada, mas especula-se o uso oficial da íris como um passaporte, sem a necessidade do passaporte físico. Acesso a computadores, banco de dados e servidores através da íris também continuam sendo estudados, apesar de muitos sistemas já utilizarem. Acesso a contas em bancos de forma mais segura (embora isso não impeça seqüestros e assaltos), viagens mediante um cadastro no sistema, sem utilização de passagens, “carteiras” de motorista, autenticação de cartão de crédito, busca de pessoas desaparecidas ou procuradas e análise forense são algumas áreas que o reconhecimento de íris poderá ser utilizado futuramente. Muitas das áreas já possuem equipamentos no mercado, embora ainda não tenham um grau de aceitação em larga escala.

6. Considerações Finais

A biometria, em todas suas áreas, foi alavancada no início do terceiro milênio e atualmente existem muitos estudos para otimização, aperfeiçoamento ou correção de erros de diversos tipos de técnicas. No caso do Reconhecimento de Íris, John Daugman, da Universidade de Cambridge no Reino Unido, é um dos principais estudiosos. Daugman aperfeiçoou alguns algoritmos que facilitaram a utilização do reconhecimento de íris, tornando-o um método biométrico mais prático e eficaz. Foi Daugman que desenvolveu o algoritmo baseado na wavelet de Gabor, que hoje é utilizado em praticamente todos os aparelhos e sistemas de reconhecimento de íris no mundo.

Ainda há muito a ser desenvolvido em todas as áreas da biometria para que ela seja aplicada em larga escala no mundo. Apesar disso, ela já pode ser considerada uma evolução drástica nos meios de identificação e promete substituir senhas, logins e cartões de identificação, além de ser um ótimo meio para controle e organização de pessoas, seja em áreas militares, aeroportos ou qualquer outra área que necessite.

7. Bibliografia

1.DAUGMAN, J., “How Iris Recognition Works” , University of Cambridge, January 2004.

2.DAUGMAN, J., “Probing the Uniqueness and Randomness of IrisCodes” , Proceeding of IEEE, November 2006.

3.DAUGMAN, J. “The importance of being random: statistical principles of Iris Recognition”, University of Cambridge, December 2001.

4.WILLIAMS, G. O, “Iris Recognition Technology” , Iridian Technologies, 2001.

5.NSTC Subcommittee on Biometrics,“Iris Recognition” , August 2006.

6.Web Page of John Daugman
http://www.cl.cam.ac.uk/~jgd1000/ - último acesso em 02/06/08

7.Tiresias.Org – Na Introduction to Biometrics – Iris Recognition
http://www.tiresias.org/guidelines/biometrics_iris.htm - último acesso em 02/06/08

8.NCSC HomePage – Biometrics - Iris Scan
http://ctl.ncsc.dni.us/biomet%20web/BMIris.html - último acesso em 02/06/08

9.LG Iris Recognition
http://www.lgiris.com - último acesso em 01/06/08

8. Perguntas e Respostas

1. Quais 2 fatores naturais da íris são considerados grandes vantagens no seu reconhecimento?

Sua unicidade, ou seja, é formada aleatoriamente em cada indivíduo e praticamente não depende de características genéticas e sua imutabilidade durante o tempo.

2. Qual a vantagem de se utilizar o quadrante de fase de demodulação na codificação da íris ?

A vantagem é que evita-se grandes erros, pois apenas um bit por vez pode mudar ao alterar a posição entre quaisquer quadrantes adjacentes.

3. Por que a utilização de luzes infra-vermelhas em aparelhos de reconhecimento de íris pode ser considerada uma vantagem e uma desvantagem?

As luzes infra-vermelhas são utilizadas para alterar o tamanho da pupila e comprovar que o olho analisado é verdadeiro, além de servir como iluminação do olho para uma melhor aquisição da imagem. Porém, essa alteração no tamanho da pupila também pode prejudicar no reconhecimento de íris, podendo reconhecer erroneamente uma íris devido ao tamanho diferente.

4. Por que são computados bits extras, chamados Bits de Máscara, no código da íris?

Esses bits servem para definir os fatores prejudiciais no reconhecimento de uma íris, como cílios, pálpebras, reflexos, lentes de contato.

5. Quais os principais objetivos da aplicação do Reconhecimento de Íris?

Controle do fluxo de pessoas (sobretudo imigrantes e emigrantes), controle de áreas restritas, acesso a servidores e bancos de dados, passaporte, ignição de carros.

9. Informações

Disciplina: Redes de Computadores I
Professor: Otto Carlos Muniz Bandeira Duarte
Curso: Engenharia de Computação e Informação
Aluno: Renan Bernardo Valadão