3.1.3 Modelo Formal
   O modelo matemático do sistema foi realizado utilizando-se conceitos da teoria dos jogos. Na verdade, a modelagem realizada é referente à entrega dos receipts, dessa forma todos os que não participaram da entrega das mensagens, são excluídos do jogo.
      Jogadores: O jogo contém d+1 jogadores: n0, n1, ..., nd. Onde n0 é a fonte das mensagens, nd é o destinatário e n1, ..., nd-1 são os nós intermediários ordenados de acordo com sua posição na rota entre n0 e nd.
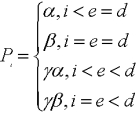
     Informações dos jogadores: Faça Ti, a informação referente ao jogador ni. Temos que para i > 0, Ti = VERDADEIRO, se o jogador ni recebeu a mensagem; Ti = FALSO, caso contrário. De outra forma:     
graphic
     Onde k é o índice do último jogador a receber a mensagem. Um ponto importante a ser destacado aqui é que o CCS desconhece o valor de k quando o jogo começa. Por completude: T0 = VERDADEIRO.
     Ações: Cada jogador ni, i > 0, possui duas possíveis ações: reportar o recebimento da mensagem, enviando o receipt, ou reter essa informação. A ação do jogador ni é denotada por Ai.
     Custo das ações: Se um jogador ni não recebeu a mensagem m, mas declara ter recebido a mensagem, outro jogador, digamos nj precisa ter enviado o receipt para ni. Esse envio teve um custo para nj e dessa forma, ni deve compensá-lo. Denotemos por δ o custo de envio de um receipt entre dois nós móveis. Denotemos por Ui o custo das ações de ni:
graphic
     Pagamento: Retornando ao sistema de pagamento apresentado no item anterior, para i > 0:
graphic
       No caso em que i = 0, temos que o custo C pode ser utilizado como pagamento negativo:
P0 = -C = -((d-1)α + β - (d-e)γβ)
       Bem-estar: Para o jogador ni o bem-estar, W, pode ser calculado como o pagamento recebido menos o custo de suas ações:
W = Pi – Ai
Análise: Segurança
    Se Ai = Ti, dizemos que ni diz a verdade, caso contrário, dizemos que ni mente. A estratégia de ni pode ser: dizer a verdade, mentir ou uma distribuição de probabilidades sobre as duas primeiras possibilidades.
     Definição 2: Para um jogador, uma estratégia ótima é aquela que possibilita o maior bem- estar esperado, sem levar em consideração a estratégia dos outros oponentes.
     Teorema 1: No jogo de submissão de receipts, a estratégia ótima é dizer a verdade para todo ni, se δγβ, e para nd não mentir se Td = FALSO.
     O teorema 1 somente considera situações em que somente um jogador está mentindo. Entretanto, situações em que dois ou mais jogadores unam-se, tentando inferir um ataque de conluio devem ser previstas.
     Definição 3: Um jogo é resistente a conluio se qualquer grupo de jogadores em conluio não pode aumentar a soma esperada de seu bem-estar, utilizando uma estratégia que não seja dizer a verdade.
     Teorema 2: O jogo de submissão de receipts é resistente a conluio se δ  ≥ (d-  1) γα e nd não mente no caso em que Td = FALSO.
     Definição 4: Um jogo é à prova de fraudes se dizer a verdade é uma estratégia ótima e o jogo é resistente a conluio.
     Teorema 3: O jogo de submissão de receipts é à prova de fraudes.
Análise: Incentivos
     Nas sub-seções anteriores foi mostrado que dizer a verdade é o ideal para todos os jogadores. Um nó intermediário pode esperar um pagamento igual a p2α + (p1 - p2)γα + (1 - p1)γβ - γβ, onde p1 é a probabilidade de a mensagem chegar corretamente ao próximo nó e p2 a probabilidade de a mensagem chegar ao destino. Simplificando, temos: p2(1 - γ)α + p1γ(α - β), que é maior que zero desde que γ seja pequeno e α > β.
     Se esse pagamento for superior ao custo de enviar a mensagem, então o nó tem incentivos o suficiente para encaminhar a mensagem.