Uma Análise Matemática

Com tanta poluição em redes P2P, foram feitos diversos estudos sobre o assunto, muitos deles representando matematicamente diversas características de usuários, arquivos e redes.

A análise a seguir consiste de um estudo [1] feito por Uichin Lee e que mostra o dinamismo da poluição em redes P2P.

Considerando que uma rede possui M usuários composta por poluidores e usuários normais. Considera-se que tanto usuários normais quanto poluidores possuem mesma capacidade de processamento, banda e conexão. G0 usuários com cópias originais e B0 com cópias poluídas. Esses usuários são considerados fixos na rede, não podendo se desconectar. Enquanto isso, outros usuários se conectam e baixam os arquivos. A cada iteração (em relação ao tempo) k, um usuário faz uma busca por algum arquivo e existe uma probabilidade sk de ele baixar o arquivo. Após o arquivo ter sido baixado, o usuário confere sua autenticidade após um intervalo de tempo t, que consiste de uma variável aleatória com fronteira superior de valor L. Até o usuário conferir o arquivo, ele continua sendo compartilhado pela rede. Ao conferir, há uma probabilidade pa do usuário realmente acertar se aquele arquivo é poluído ou não. Se o arquivo for poluído, o usuário exclui e há uma probabilidade pr de o arquivo ser baixado novamente (repetindo-se então a busca). Ainda assim, existe uma probabilidade pc de o usuário compartilhar o arquivo ou não.

Considera-se então que Dk é o número de usuários que fez um download na iteração k-1. Portanto, M-Dk usuários não fizeram downloads, e com isso uma fração sk dos M-Dk usuários farão o download na iteração k.

Na iteração k, gk e bk são o número dos usuários que baixaram arquivos autênticos e poluídos, respectivamente. Considerando rk o número de tentativas de download (devido a poluição) e pkG = Gk/(Gk + Bk) é a probabilidade de selecionar-se um arquivo não poluído, então temos:

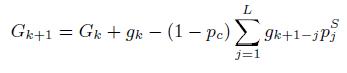
Lembrando que t é o tempo aleatório que um usuário leva para conferir se um arquivo é poluído ou não. A probabilidade de negligência na verificação do arquivo é ptS. Há também a probabilidade pjS de um usuário “preguiçoso” deixar a rede após um tempo aleatório j. Então, o número total de arquivos autênticos na iteração k+1 é:

Abaixo segue um gráfico que representa a variação da poluição conforme o tempo para diversas probabilidades do usuário acertar se um arquivo é poluído ou não. Podemos perceber que o nível de poluição em casos em que os usuários são os únicos métodos de combate à poluição tende a cair até permanecer constante ao longo do tempo.

Considerando dados reais, abaixo seguem dois gráficos com três variáveis: pc, pa e número de arquivos na rede. O gráfico da esquerda é de uma rede levemente poluída e o gráfico da direita é de uma rede altamente poluída. Pode-se que em redes altamente poluídas a quantidade de arquivos genuínos sempre se mantém relativamente baixa, tornando-se muito alta apenas quando as probabilidades de acerto e de cooperação são muito altas.