2.1. A íris
A íris é um diagrama circular fino, que se encontra entre a córnea e o cristalino. Uma visão do olho humano pode ser visualizada abaixo. A íris é perfurada ao centro por uma abertura que é conhecida como pupila. A função da íris é controlar a quantidade de luz que entrará pela pupila, através do esfíncter e de um dilatador muscular, que ajusta o tamanho da pupila. O tamanho médio da pupila é de 12 mm.
Olho humano.
A íris consiste em inúmeras camadas: a camada mais ao fundo é conhecida como camada epitelial, e contém densas células pigmentadoras; a camada do meio é conhecida como estroma, e contém vasos sanguíneos, células pigmentadoras e 2 músculos (a pigmentação dessa camada define a cor dos olhos); Já a camada mais externa possui duas zonas radiais, que são separadas por uma textura em zigue-zague e podem difeirir em cor.
2.1.1. A unicidade
A formação da íris começa durante o terceiro mês na formação embrionária. E a textura única na superfície é formada durante o primeiro ano de vida do indivíduo, já a pigmentação do estroma ocorre durante seus primeiros anos de vida. A formação dessa textura é aleatória, e conseqüentemente não está relacionada a fatores genéticos. A única característica que depende do material genético formador do embrião está relacionado a pigmentação, e assim com a cor da íris. Assim, mesmo irmãos gêmeos possuem esta textura da íris descorrelacionadas. 
Exemplos de íris.
2.2. Processo de reconhecimento
O processo de reconhecimento e autenticação através da íris pode ser definido resumidamente em cinco etapas:
2.2.1. Capturando a imagem
A captura da imagem da íris pode ser realizada através de uma câmera padrão que use luz visível e infravermelha, e pode ser constituída de um procedimento manual ou automático. A câmera precisa estar posicionada entre 9 centímetros e 1 metro. No procedimento manual, o usuário precisa ajustar a câmera de modo a focar a íris e precisa estar entre 15 e 50 centímetros. Esse processo necessita de treinamento adequado para obtenção de sucesso, visto que requer adequação manual. Já o processo automático utiliza um conjunto de câmeras, que localizam a face, e posteriormente a íris automaticamente, o que transforma o processo em um procedimento muito mais simples.
Assim, são necessários pelo menos 70 pixels de resolução no raio da íris para se capturar os detalhes dos padrões de íris . Testes indicam que resoluções de 100 a 140 pixels podem ser alcançadas frequentemente e as distâncias acima estão relacionadas a esses números.
2.2.2 Definindo a localização da íris
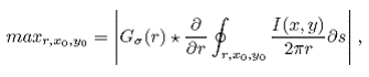
A partir de uma imagem de um olho que atenda às restrições de um padrão mínimo de qualidade, como o padrão acima, é preciso realizar um procedimento de localização da íris na dada imagem, obtendo localizações precisas de ambas as extremidades da íris (interna e externa), assim como o seu centro. Embora a busca pela íris possa facilitar o encontro da pupila (e a borda interna da íris), não se deve considerar que essas sejam concêntricas. Assim, os parâmetros que definem a pupila devem ser estimados de maneira separada aos parâmetros da íris em si. Um procedimento íntegro-diferencial bastante usado é o seguinte:

onde I(x, y) é a imagem contendo um olho. O operador procura sobre o domínio (x, y) da imagem pelo valor máximo da derivada parcial em relação ao raio r, da integral normalizada do contorno de I(x, y) através de um arco circular ∂s de raio r e centro (x0, y0). O * denota a convolução e Gσ(r) é uma função de suavização de ruído, como uma gaussiana de escala σ. O operador funciona, na prática, como um detector circular de bordas, “borrado” pela escala σ, que busca iterativamente por um máximo da derivada da integral de contorno com raios crescentes em sucessivas escalas cada vez mais finas de análise, sobre os três parâmetros espaciais (x0, y0, r), definindo um caminho ao longo do contorno de integração.
Esse operador é usado tanto para se encontrar os limites interior e exterior da íris. Quando a busca por esses limites tenha encontrado a precisão de um único pixel, um processo semelhante é realizado para se localizar as pálpebras superior e inferior. Como resultado dessas operações de localização temos o isolamento da íris das outras áreas da imagem, como na figura abaixo:

Resultado do isolamento da íris.
Outro detalhe que deve ser levado em conta é o fato do centro da pupila nem sempre coincidir com o centro da íris. Na maioria das vezes, o centro da pupila está abaixo do centro da íris, podendo estar em até 1 milímetro de distância (o que se mostra considerável, já que o raio de uma íris mede pouco mais de 5 milímetros). Assim, os parâmetros da pupila e da íris a serem encontrados nesta fase (coordenadas do centro e raio) devem ser calculados em procedimentos separados.
2.2.3 Obtendo robustez
Para obtermos um modelo de reconhecimento robusto de padrões, ocorre a necessidade de uma invariância a mudanças de tamanho, posição e orientação dos padrões. No nosso caso, essas invariâncias devem ser em relação:
- Ao tamanho da íris em uma imagem;
- Ao tamanho da pupila;
- À posição da íris na imagem;
O grande problema a ser superado nessa etapa é o problema relacionado a dilatação da pupila, já que esta provoca uma deformação no padrão da textura da íris. No entanto, Daugman argumenta que esta deformação causada pela dilatação pupilar é uniforme em toda a superfície da íris, o que a torna facilmente tratável matematicamente. Como analogia para esse padrão de textura temos uma folha de borracha com deformação homogênea.
A robustez citada acima é adquirida através da definição de coordenadas polares adimensionais para as imagens da íris. Essas coordenadas são obtidas mapeando-se todos os valores de coordenadas cartesianas I(x, y) de uma imagem de íris I para valores em coordenadas polares I(r, θ), com r pertencendo à [0, 1] e θ pertencendo à [0, 2π].
O conceito de adimensionalidade no caso se dá pelo fato de que, apesar da localização e do tamanho da íris capturada, para se extrair as suas características basta se utilizar estas coordenadas polares adimensionais, com o raio r variando de 0 até 1 e o ângulo θ variando de 0 a 2π.
A adimensionalidade da coordenada polar θ já é dada, uma vez que ângulos são medidas adimensionais. Para chegarmos a adimensionalidade de r, é necessário utilizar os parâmetros obtidos na etapa anterior (raio e centro da íris e da pupila). Então, realizamos um mapeamento de [r pupila, r íris] => [0, 1].
2.2.4 Codificando a íris
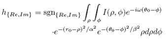
A codificação da íris é obtida pela aplicação da wavelet 2D de Gabor para valores complexos, assim como Daugman propôs. Matematicamente, o valor desta aplicação é dado pela expressão:

Para cada ponto I(r, θ) em coordenadas polares adimensionais da imagem I da íris aplicado na fórmula acima, obtemos dois bits, que representam as partes real e imaginária de um bit de valor complexo, cujos valores (0 ou 1) variam de acordo com o sinal da integral bidimensional aplicada. 
Aplicação da wavelet 2D de Gabor.
A cada aplicação de I(r, θ), os valores das partes real e imaginária do bit complexo dado são obtidos de acordo com o quadrante de fase de demodulação da íris, representado pela abaixo. A codificação da íris é realizada através da aplicação de 1024 valores diferentes de I(r, θ), obtendo-se então 2048 bits, ou 256 bytes, que é o resultado de um código de íris.

A codificação da demodulação por quadrante de fase.
Como praticamente sempre uma íris não se mostra totalmente visível para receber a aplicação dessa codificação em toda a sua região (devido a reflexos e cortes efetuados pelas pálpebras, por exemplo), vemos necessária a criação de uma máscara para o código de íris gerado excluindo as regiões que não são interessantes na comparação da íris.
2.2.5 Comparando as imagens
A chave no reconhecimento da íris é uma falha em um teste de independência estatística. Teste esse que envolve 266 graus de liberdade, o que o torna virtualmente garantido em relação a falhas quando os códigos de fase de duas íris divergentes são comparadas, assim falhando unicamente quando os códigos de fase de uma íris são comparados exatamente com outra versão sua.
O teste realizado é implementado com a operação booleana XOR bit a bit dos 2048 bits de cada código de íris, seguido da operação booleana AND com máscaras de ambas as íris. Calculamos a norma desta operação, e assim conseguimos o número de bits diferentes entre os códigos de íris. Dividimos então o número obtido pela operação booleana AND entre as duas máscaras dos códigos, também contando o número de ocorrências. A fórmula pode ser visualizada na equação abaixo:

A Distância de Hamming obtida mede a dissimilaridade entre as íris. Quando ocorre um casamento perfeito das íris, o valor computado é 0. Abaixo podemos observar a probabilidade das íris comparadas serem diferentes ou iguais.
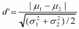
O grau de decidibilidade d’ é definido por Daugman da seguinte forma:

e testão relacionadas com o quão separadas estão as distribuições same e different das figuras a seguir:

Gráfico da distância de Hamming em uma imagem não ideal.

Gráfico da distância de Hamming em uma imagem ideal.